В соответствии с требованиями ПУЭ объем приемо-сдаточных испытаний силовых кабельных линий включает следующие работы.
Силовые кабельные линии напряжением до 1 кВ испытываются по пп.1, 2, 7, 13.
Силовые кабельные линии напряжением выше 1 кВ и до 35 кВ - по п.п.1-3, 6, 7, 11, 13, а напряжением 110 кВ и выше - в полном объеме, предусмотренным настоящей инструкцией.
Перед включением кабеля в работу производится его фазировка, т.е. обеспечивается соответствие фаз кабеля фазам присоединяемого участка электроустановки. Проверка производится прозвонкой с помощью телефонных трубок или мегаомметра. На основании проверки производится раскраска жил в соответствии с раскраской принятой на данной установке.
Технология "прозвонки" с помощью телефонных трубок заключается в следующем: один работник подсоединяет свою телефонную трубку к жиле кабеля и оболочке (заземленной части электропроводки), а другой поочередно к жилам кабеля со своей стороны, пока не дойдет до той жилы, к которой подключился первый работник. При этом устанавливается телефонная связь между работниками и они могут договориться о порядке проверки другой жилы. На проверенные жилы навешивают временные бирки с соответствующей маркировкой. Проверка жил "прозвонкой" будет успешной, если исключить возможность образования обходных цепей. Во избежание ошибок необходимо убедиться, что связь возможна только по одной жиле; для этого подсоединяют трубку к каждой из оставшихся жил и убеждаются, что связи по ним нет. Для "прозвонки" используют низкоомные телефонные трубки, а в качестве источника питания - батарейку от карманного фонаря.
После предварительной прозвонки перед включением кабельной линии в работу производится фазировка ее под напряжением. Для этого с одного конца кабеля подается рабочее напряжение, а с другого конца производится проверка соответствия фаз измерениями напряжений между одноименными и разноименными фазами. Газировка производится вольтметрами (в сетях до 1кВ) или вольтметрами с трансформаторами напряжения, а также с помощью указателей напряжения типа УВН-80, УВНФ и др. (в сетях напряжением выше 1 кВ),
Порядок проведения фазировки в линиях различного напряжения примерно одинаков. Так фазировка кабельной линии с помощью указателей напряжения выполняется в следующей последовательности (см. рис. 1). Проверяется исправность указателя напряжения, для чего щупом трубки без неоновой лампы касаются заземления, а щуп другой трубки подносят к жиле кабеля находящегося под напряжением, при этом неоновая лампа должна загореться. Затем щупами обеих трубок касаются одной жилы находящей под напряжением. Лампа индикатора при этом гореть не должна. После этого проверяется наличие напряжения на выводах электроустановки и кабеля (см. рис. 1в). Данную проверку производят для того, чтобы исключить ошибку при фазировке линии имеющей обрыв (например, из-за неисправности предохранителя). Процесс собственно фазировки состоит в том, что щупом одной трубки указателя касаются любого крайнего вывода установки, например фазы С, а щупом другой трубки - поочередно трех выводов со стороны фазируемой линии (см. рис. 1г). В двух случаях касания (С-А 1 и С-B1) неоновая лампа загорается, в третьем (С-С1) лапа гореть не будет, что укажет на одноименность фаз. Аналогично определяют другие одноименные фазы.




Производится мегаомметром на напряжение 2,5 кВ. Для силовых кабелей до 1 кВ сопротивление изоляции должно быть не менее 0,5 МОм. Для силовых кабелей выше 1 кВ сопротивление изоляции не нормируется, но должно быть порядка десятка МОм и выше. Измерение следует производить до и после испытания кабеля повышенным напряжением.
Методика измерения сопротивления и приборы, используемые при этом, представлены испытаниях изоляции электрооборудования повышенным напряжением.
Перед началом измерения сопротивления изоляции на кабельной линии необходимо:
После окончания измерения, прежде чем отсоединять концы от прибора необходимо снять накопленный заряд путем наложения заземления.
Разрядку кабеля необходимо производить при помощи специальной разрядной штанги сначала через ограничительное сопротивление, а затем накоротко. Короткие участки кабеля длиной до 100 м можно разряжать без ограничительного сопротивления.
При измерении сопротивления изоляции кабельных линий большой длины, необходимо помнить, что они обладают значительной емкостью, поэтому показания мегаомметра следует отмечать только после окончания заряда кабеля.
Категорически запрещается измерять сопротивление изоляции на кабельной линии, если она хотя бы на небольшом участке проходит вблизи другой линии, находящейся под напряжением.
Силовые кабели напряжением выше 1 кВ испытываются повышенным напряжением выпрямленного тока.
Величины испытательных напряжений и длительность приложения нормированного испытательного напряжения приведены в таблице 5.
Таблица 5. Испытательные напряжения выпрямленного тока для силовых кабелей
| Тип кабеля | Испытательные напряжения, кВ; для кабелей на рабочее напряжение, кВ | Продолжительность испытания, мин | |||||||
| 2 | 3 | 6 | 10 | 10 | 35 | 110 | 220 | ||
| Бумажная | 12 | 18 | 36 | 60 | 100 | 175 | 300 | 450 | 10 |
| Резиновая марок ГТШ, КШЭ, КШВГ, КШВГЛ, КШБГД | - | 6 | 12 | - | - | - | - | - | 5 |
| Пластмассовая | - | 15 | - | - | - | - | - | - | 10 |
Методика проведения испытания повышенным напряжением выпрямленного тока, а также установки и оборудование для испытания представлены испытаниях изоляции электрооборудования повышенным напряжением.
При испытании напряжение должно плавно подниматься до испытательной величины и поддерживаться неизменным в течение всего периода испытания. Подъем испытательного напряжения для кабельных линий напряжением до 10 кВ осуществляется в течение 1 мин, а для кабельных линий 20-35 кВ - со скоростью не более 0,5 кВ/с.
В случае, если контроль над испытательным напряжением осуществляется по вольтметру, включенному на первичной стороне повышающего трансформатора, то в результаты измерения может вноситься некоторая погрешность за счет падения напря жения в элементах испытательной схемы, в частности, в кенотронах.
Измерение токов утечки кабеля 3-10 кВ при испытаниях повешенным выпрямленным напряжением производиться с помощью микроамперметров, включенных или на стороне высокого напряжения испытательной установки, или в нуль испытательного трансформатора. При применении последней схемы измерения токов утечки возможно искажение отсчета за счет паразитных токов утечки.
При испытаниях силовых кабельных линий повышенным выпрямленным напряжением оценка их состояния производится не только по абсолютному значению тока утечки, но и путем учета характера изменения тока утечки по времени, асимметрии токов утечки по фазам, характера сохранения и спада заряда и т.п. В эксплуатации принято, что кабельная линия может быть введена в работу, если токи утечки имеют стабильное значение, но не превосходят 300 мкА для линий с номинальным напряжением до 10 кВ. Для коротких кабельных линий (длиною до 100 м) без соединительных муфт допустимые токи утечки не должны превышать 2-3 мкА на 1кВ испытательного напряжения. Асимметрия токов утечки по фазам не должны превышать 8-10 при условии, что абсолютные значения токов не превышают допустимые.
Для исправной изоляции силового кабеля ток утечки спадает в зависимости от длительности приложения испытательного напряжения, и тем больше, чем лучше каче ство изоляции. У силового кабеля с дефектной изоляцией ток утечки увеличивается во времени. При заметном нарастании тока утечки при испытании силового кабеля про должительность испытания увеличивается до 10-20 мин. При дальнейшем нарастании утечки, если оно не вызвано дефектами концевых разделок, испытание должно вестись до пробоя изоляции кабеля.
При испытаниях напряжение от выпрямленной установки подводится к одной из жил испытуемого кабеля. Остальные жилы испытуемого кабеля, а также все жилы других параллельных кабелей данного присоединения должны быть надежно соединены между собой и заземлены. У трехжильных кабелей испытанию подвергается изоляция каждой жилы относительно оболочки и других заземленных жил. У однофазных кабелей и кабелей с отдельно освинцованными жилами испытывается изоляция жилы относительно металлической оболочки.
Кабель считается выдержавшим испытания, если не произошло пробоя, не было скользящих разрядов и толчков тока утечки или его нарастания, после того как он дос тиг установившейся величины.
После каждого испытания цепи кабельной линии ее необходимо разрядить по приведенной методике.
Испытание повышенным напряжением промышленной частоты допускается
производить для линий 110-220 кВ взамен испытания повышенным напряжением выпрямленного тока.
Величины испытательного напряжения промышленной частоты приведены в табл. 6.
Таблица 6. Величины испытательного напряжения промышленной частоты
| Рабочее напряжение кабеля, кВ | Испытательное напряжение кВ | Испытательное напряжение по отношению к земле, кВ | Продолжительность испытания, мин |
| 110 | 220 | 130 | 5 |
| 220 | 500 | 288 | 5 |
Методика испытания и установки для испытания изоляции повышенным напряжением промышленной частоты приведены испытаниях изоляции электрооборудования повышенным напряжением.
Производиться для линий напряжением 35 кВ и выше.
Активное сопротивление жил кабельной линии постоянному току, приведенные к 1 мм сечения, 1 м длины и температуре + 20 С, должно быть не более 0,0179 Ом для медной жилы и не более 0,0294 Ом для алюминиевой жилы.
Активное сопротивление жил кабелей постоянному току представлены в табл. табл. 7, 13.8.
Методики измерения и необходимые приборы приведены.
Таблица 7. Активное сопротивление жил кабелей постоянному току при температуре +20°С
| Сечение, мм | Сопротивление, Ом/км | Сечение, мм | Сопротивление, Ом/км |
| 16 | 1,15/1,95 | 95 | 0,194/0,33 |
| 25 | 0,74/1,26 | 120 | 0,153/0,26 |
| 35 | 0,52/0,88 | 150 | 0,122/0,207 |
| 50 | 0,37/0,63 | 185 | 0,099/0,168 |
| 70 | 0,26/0,44 | 240 | 0,077/0,131 |
Примечание: в числителе указано для медной, а в знаменателе для алюминиевой жилы.
Таблица 8. Активное сопротивление жил маслонаполненных кабелей постоянному току при температуре +20°С
| Сечение, мм | Сопротивление, Ом/км* | Сечение, мм | Сопротивление, Ом/км* | ||
| Низкого давления | Высокого давления | Низкого давления | Высокого давления | ||
| 120 | 0,1495 | 0,1513 | 400 | 0,04483 | 0,04453 |
| 150 | 0,1196 | 0,1209 | 500 | 0,03587 | 0,03575 |
| 185 | 0,09693 | 0,09799 | 550 | 0,03260 | 0,03295 |
| 240 | 0,07471 | 0,07601 | 625 | 0,02869 | 0,02846 |
| 270 | 0,06641 | 0,06593 | 700 | - | 0,02562 |
| 300 | 0,05977 | 0,06040 | 800 | 0,02242 | - |
| 350 | 0,05123 | - | - | - | - |
Производиться для линий 35 кВ и выше. Измеренная емкость, приведенная к удельным величинам, не должна отличаться от результатов заводских испытаний более чем на 5%.
Измерение емкости кабельных линий производится методом амперметравольтметра или по мостовой схеме.
Метод амперметра-вольтметра. позволяет с большой точностью определять емкости со значениями C≥0,1 мкФ, что соответствует параметрам кабелей. Схема измерения по данному методу представлена на рис. 2.
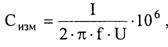
По результатам измерения напряжения и тока емкость, мкФ, вычисляется по формуле

где: I - емкостной ток, А; U - напряжение на кабеле, В; f - частота напряжения в сети, Гц.
По данным измерения определяется удельная емкость кабеля, мкФ/км

В том случае, когда измерение методом амперметра-вольтметра требует специального оборудования и приборов, желательно применение мостового метода.
При измерении мостовым методом используются мосты переменного тока типа МД-16, P5026, P595 и др. Измерения производятся по перевернутой схеме (о порядке измерения следует руководствоваться указаниями). При выборе средств измерения следует учитывать, что удельные погонные емкости кабелей 35 кВ и выше составляют десятые доли мкФ/км, а пределы измерения емкости мостами переменного тока находятся в диапазонах:
мост Р5026 на напряжении 3-10 кВ - 10 ÷1 мкФ, на напряжении менее 100 В - 6,5·10-4÷5·102 мкФ;
мост МД-16 на напряжении 6-10 кВ – 0,3·10-4 ÷0,4 мкФ, на напряжении 100 В - 0,3 · 10-3 ÷100 мкФ;
мост P595 на напряжении 3-10 кВ –3·10-5 ÷1 мкФ, на напряжении менее 100 В – 3 · 10-4 ÷102 мкФ.

Неравномерность в распределении токов на кабелях не долина быть более 10%. Измерения производятся переносными приборами или токоизмерительными клещами.
Захаров о.г.
ПРИЁМОСДАТОЧНЫЕ - слово пишут без дефиса! См. - http://dic.academic.ru/dic.nsf/stroitel/10798
Захаров о.г.
см. также http://www.olgezaharov.narod.ru/1970/Binder_biblio.pdf