
В отечественной практике термином «чувствительность» принято обозначать свойство релейной защиты, позволяющее выявлять расчётные виды повреждений и ненормальных режимов энергосистемы в зоне действия релейной защиты.
В ПУЭ [1] понятие, обозначаемое термином «чувствительность» [2] используют для характеристики любых защит, независимо от напряжения электроустановки, но определение понятия, обозначаемого этим термином в данном документе нет.
Если чувствительность некоторых изделий можно определить непосредственно [1], то в релейной защите эту характеристику оценивают косвенно, причем способ оценки зависит от напряжения электроустановки [1].
Здесь необходимо отметить, что во многих других странах оценку чувствительности не производят [3].
Согласно ПУЭ для оценки чувствительности защит в электроустановках напряжением свыше 1000 В применяют коэффициент чувствительности [4, 5, 6].
Значение коэффициента чувствительности для защит, реагирующих на возрастание контролируемой величины, находят как отношение их расчетных значений в пределах защищаемой зоны к уставке срабатывания.
Для токовых защит линии коэффициент чувствительности в общем случае находят по формуле:

где
- минимальный ток короткого замыкания для защищаемой линии (обычно – в конце защищаемого участка);
- ток срабатывания защиты.
Принято считать, что в общем случае такая защита будет работать правильно, если выполняется соотношение:

Найденное по этой формуле (1) значение коэффициента чувствительности должно быть не меньше нормированного значения, установленного в [1], и которое в зависимости от вида защиты может изменяться от 1,5 до 2,0.
В [3] показано, что при изменении значения коэффициента чувствительности от 1,2 до 1,4 вероятность срабатывания защиты изменяется незначительно, от 0,998 до 1,000.
Рассмотрим теперь, как рекомендуют определять коэффициент чувствительности токовой отсечки в одной из методик расчета уставок (см. [4], пример 2.1).
Для экономии места исходные данные для расчета приведены в экспликациях к формулам.
Расчет начинают с определения пускового тока электродвигателя I пуск эд по формуле :
I пуск эд = k пуск · I ном = 5,7 · 113,2 = 645 А
Где k пуск – каталожное значение пускового тока, равное 5,7 для асинхронного электродвигателя серии А4;
I ном – номинальный ток электродвигателя, определенный по известным значениям номинальной мощности, номинального напряжения, коэффициентв полезного действия и мощности или взятый из каталожных данных.
Пусковой ток может быть определен и по приведенному в каталожных данных номинальному току электродвигателя.
Наименьшее значение тока двухфазного КЗ на выводах электродвигателя
находим по формуле:

где –
= 3500 - значение тока трехфазного КЗ на вводах питания асинхронного электродвигателя в минимальном режиме работы системы (приведено в исходных данных для расчета).
Ток срабатывания токовой отсечки рассчитывают по формуле:

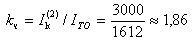
Коэффициент чувствительности защиты при двухфазном КЗ находим по формуле (1), подставив в неё найденные значения:

На основании выполнений расчетов в методике [4] сделан вывод: «коэффициент чувствительности ТО получился меньше двух».
Можно ли говорить, что уменьшение коэффициента чувствительности всего на 7% (2,00-1,86=0,14; 0,14/2,00=0,07) по сравнению со значением, указанным в ПУЭ, делает данную защиту непригодной?
Отметим, что если в формуле (5) будет использовано расчетное значение
= 3031 А, вместо округленного (3000) расчетное значение коэффициента чувствительности будет всего на 6% (3031/1612 = 1,88) меньше значения, рекомендованного ПУЭ.
Приблизительность такого подхода видна и в том, что в формуле (4) условием несрабатывания ТО при пуске электродвигателя служит выбор множителя, равного 2,5, что и приводит к увеличению расчетного тока и, в конечном итоге, уменьшению коэффициента чувствительности.
Если предположить, а потом опытным путем доказать, что токовая отсечка не будет срабатывать при выборе уставки, равной 2,35 пускового тока электродвигателя, то значение коэффициента чувствительности и при пусковом токе 645 А будет удовлетворять требованиям ПУЭ.
В рассматриваемой методике вместо уменьшения множителя в формуле (4) предложено аналогичное по своей сути действие – уменьшение второго сомножителя путем «уточнения» пускового тока электродвигателя [2].
Отметим, что в любом случае реальный пусковой ток электродвигателя останется неизвестным, а все выводы будут основаны на расчетах, выполненных по каталожным данным электродвигателя.
В методике предложено использовать известную формулу (6) для нахождения пускового тока электродвигателя по найденным расчетным путем сопротивления питающей системы
= 0,92 Ом и пускового сопротивления электродвигателя
= 5,37 Ом :

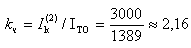
Ток срабатывания токовой отсечки при таком значении пускового тока составит

В этом случае значение коэффициента чувствительности возрастает до

Если в исходную формулу (5) поставить расчетное значение тока А, то значение коэффициента чувствительности возрастет ещё больше и станет равным 2,18.
После получения искомого результата в методике [4] сделан вывод: «Коэффициент чувствительности ТО получился больше двух, поэтому применять дифференциальную защиту не требуется»
Заключение о таком выводе читатель может сделать самостоятельно.
В электроустановках напряжением до 1000 В для оценки чувствительности токовых защит вместо «коэффициента чувствительности» ПУЭ предусматривает другую характеристику – кратность тока короткого замыкания, задаваемую в процентах по отношению к:
Значения кратности тока согласно [1] в зависимости от типа аппарата защиты может находится в диапазоне

Разделив правую и левую часть неравенства на 100%, можно убедиться, что по своей сути это немного видоизмененный способ задания коэффициента чувствительности.
Сказанное выше позволяет сделать такие выводы:
[1] Например, в метрологии чувствительности средства измерения находят как отношение изменения выходного сигнала к изменению измеряемой величины.
[2] Для получения требуемого значения коэффициента чувствительности пусковой ток не должен превышать 600 А.
taras.apletin
Другие словарные статьи про коэффициенты в релейной защите читайте здесь:
Коэффициент отстройки // [Электронный ресурс], режим доступа:
http://maximarsenev.narod.ru/slovar2/adjustmentfactor.htm
Коэффициент запаса // [Электронный ресурс], режим доступа:
http://maximarsenev.narod.ru/slovar2/factor_z.htm
Коэффициент возврата // [Электронный ресурс], режим доступа:
http://maximarsenev.narod.ru/slovar2/k_vozvrata.htm
11. Коэффициент чувствительности // [Электронный ресурс], режим доступа: http://rza.org.ua/glossary/read/KOEFFICIENT-ChUVSTVITELNOSTI.html
taras.apletin
бухгалтерских» формул надежности - https://energoboard.ru/post/3044/
Комментарий проверяется
Текст комментария будет виден после проверки администратором.